大東海泵業無錫有限公司是一家專業的自吸泵生產廠家。在客戶自吸泵選型時,我公司水泵廠家會提供完善的自吸泵型號、自吸泵價格等售前服務,以供客戶參考,并且我水泵廠家能為客戶提供定制泵業產品的服務。本條產品資訊是關于自吸泵的聯軸器如何平衡找正調整的知識:
自吸泵聯軸器的找正又稱
自吸泵聯軸器的對中,對中可分為冷對中和熱對中,下面只介紹冷對中也是最常用的自吸泵聯軸器的找正方法。
1)
自吸泵聯軸器找正時偏移情況的分析
在自吸泵聯軸器找正時,一般會遇到下列四種情況:

(1)S1=S3,a1=a3o如圖3-8所示,這表示兩半聯軸器是處于既平行又同心的正確位置,此時兩軸的中心線必位于一條線上,符合安裝要求,這里s1、s3和a1、a3表示在聯軸器上方0°和下方180°兩個位置上的軸向間隙和徑向間隙。
(2)S1=S3,a1≠a3。如圖3—9所示,表示兩聯軸器雖然互相平行,但不同心,這時兩軸的中心線之間有平行的徑向位移,其偏心距為:

(3)S1≠S3,a1=a3,如圖3-10所示,這表示兩半聯軸器互相不平行,同心不同軸。這時兩軸的中心線之間有傾斜的角位移(傾斜角為α)。

(4)S1,≠S3,,a1≠a3。如圖3—11所示,這表示兩半聯軸器既不平行又不同心,這時兩半聯軸器的中心線之間既有徑向位移,又有角位移。
自吸泵聯軸器之間處于后三種情況時,都不符合要求,都需要找正,直至獲得******種正確的情況為止。一般在安裝設備時,首先將從動機泵安裝好,使其軸處于水平,然后安裝主動機(電機),所以找正時只需調整電動機,即在主動機的支腳下面用加減墊片的方法或左右移動來進行調整。

2)自吸泵聯軸器找正測量的方法
自吸泵聯軸器在找正時主要測量其同軸度(徑向位移或徑向間隙)和平行度(角位移或軸向間隙)。根據測量時所用工具的不同,其測量方法一般分為兩種。
(1)利用鋼板尺、直角尺和塞尺測量聯軸器的同軸度,如圖3一12所示.這種自吸泵聯軸器找正方法簡單,但精度不高,一般只能用于不需要精密找正中心的粗糙的低速設備。有時在精密找正之前,也應用這種方法進行預找正。

采用這種自吸泵聯軸器找正方法時,用鋼板尺或直角尺靠在機器聯軸器一側,使其與聯軸器圓柱面貼實,觀察尺口與電機聯軸器圓柱面間的間隙。若間隙前后均勻,利用塞尺測量,驗證后換到相對的一側,同樣測量;若間隙值相等,則說明聯軸器在此截面內同心,但必須轉向90°后再相對測量;若間隙相等,則聯軸器處于基本同心狀態;如間隙前后不均勻,可用塞尺測量出前后差值,再在另一側測量驗證后,方可判定電機軸線與設備軸線不平行,然后進行調整。
(2)利用表架和百分表測量聯軸器I、Ⅱ的同軸度和平行度,如圖3—13所示。

這種自吸泵聯軸器調整方法是利用卡箍將表架固定在設備的聯軸器Ⅱ的徑向截面和軸向端面上。因為有了精密度較高的百分表來測量徑向間隙和軸向間隙,所以這種方法的精密度很高,適用于需要精確找正中心的精密的和高速的大型設備。
我們在測量聯軸器I、Ⅱ的同軸度(徑向間隙)和平行度(軸向間隙)時,常用一點法來進行測量。所謂一點法是指在測量一個位置上的徑向間隙時,同時又測量同一位置上的軸向間隙。測量時,先裝好表架,并穿上1~2個柱銷將聯軸器連接,使兩聯軸器向著相同的方向一起旋轉。首先使表架位于上方垂直的位置0°,測量出徑向間隙a1,和軸向間隙S1然后將兩聯軸器順次旋轉到90°、180°、270°三個位置,分別測量出a1,S1;a3,S3;a4,S4;將測得的數值記在記錄圖中。
當兩聯軸器重新轉到0°位置時,再次測得徑向間隙和軸向間隙的數值,記為a'1,S'1,此處a'1,s'1數值應與a1,s1相等,若a'1≠a1,S1≠S1,則必須查找產生的原因(一般情況是由于軸向竄動引起的),并予以消除,然后再繼續進行測量,直到所測得的數值正確為止。最后所得
的數據應符合下列條件:
a1+a3=a2+a4
S1+S3=S2+S4
在測量過程中,如果由于基礎的結構影響,無法測量聯軸器******位置上徑向間隙a3和軸向間隙S3,,則可根據其他三個已測得的間隙數值推算而得:
a3=a2+a4-a1
S3=S2+S4-S1
最后,比較對稱點上的兩個徑向間隙和軸向間隙的數值(如a1和a3,,S1,和S3),若對稱點的數值相差不超過規定的數值(0.05~0.10 mm),則符合要求,否則要進行調整。調整時,通常采用在垂直方向加減主動機支腳下的墊片或在水平方向移動主動機位置的方法來實現。
對于粗糙的和小型的設備,在調整時,根據偏移情況采取逐漸近似的經驗方法來進行調查,即逐次試加或試減墊片,以及左右敲打移動主機,對于精密的和大型的機器設備,在調整時,則應通過計算來確定應加或減墊片的厚度和左右的移動量。
3)自吸泵聯軸器找正計算和自吸泵聯軸器平衡調整
聯軸器的徑向間隙和軸向間隙測量完畢后,就可根據移動情況進行調整。在調整時,一般先調整軸向間隙,使兩聯軸器平行:然后調整徑向間隙,使兩聯軸器同心。為了準確快速地進行調整。應先經過如下的近似計算,確定在主動機支腳下應加減的墊片厚度。
現以既不平行叉不同心的偏移情況為例,討論聯軸器找正時的近似計算和調整方法。
如圖3一14(a)所示,I為從動機軸,Ⅱ為主動機軸,設找正測量的結果為:
s1>s3,a1>a3
自吸泵聯軸器平衡調整******步:使兩聯軸器平行。
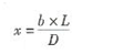
由圖3—14(a)可知,為使兩聯軸器平行,必須在主動機的支腳2下加上厚度為?mm的墊片才能達到。?值可利用圖上畫有陰影線的兩個相似三角形的比例關系算出:

式中,b為在0°與180°兩個位置上測得的軸向間隙的差值,b=s1-s3;D為聯軸器的計算直徑(應考慮到中心架測量處大于聯軸器直徑的部分);L為主動機縱向兩支腳的距離。
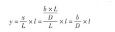
由于支腳2墊高了,而支腳1底下沒有加墊,因此軸Ⅱ將以支腳1為支點發生很小的轉動。這時兩聯軸器的端面雖然相互平行,但電動機軸上的聯軸器的中心卻下降了ymm,如圖3—14(b)所示。此處,y值同樣可利用圖上有陰影的兩個相似三角形的比例關系算出:

式中,ι為支腳1到聯軸器測量平面之間的距離。
自吸泵聯軸器平衡調整第二步:使兩聯軸器同心。
由于a1>a3,即兩聯軸器不同心,其原有徑向位移量(偏心距)e=(a1-a3)/2,再加上******步找正時又使聯軸器中心的徑向位移量增加了y mm,因此,為使兩聯軸器同心,必須在主動機的支腳1和支腳2的下方同時加上厚度為(y+e)mm的墊片。由此可見,為了使主動機軸聯軸器和從電動機軸聯軸器上的聯軸器既平行又同心,則必須在主動機的支腳1底下加上厚度為(y+e)mm的墊片,而在支腳2底下加上厚度為(?十y十e)mm的墊片,如圖3—14(c)所示。

聯軸器在各種偏移情況下找正時,在主動機的支腳下;應加上或減去的墊片厚度的計算公式見表3一11:

電動機一般有四個支腳,因此在加墊片時,電動機兩個前支腳及兩個后支腳都應加同樣厚度的墊片。
若聯軸器在90°、270°兩個位置上所測得的徑向和軸向間隙的數值相差很大時,可將主動機的位置在水平方向做適當的調整,通常是采用錘擊或千斤頂來調整主動機的水平位置。
徑向間隙和軸向間隙全部調整好后,必須滿足下列條件:
這表示主動機軸和從動機軸的中心線已位于一條線上。在調整聯軸器前,先要調整好兩聯軸器端面之間的間隙,此間隙應大于軸的軸向竄動量。
非常感謝您對大東海泵業無錫有限公司官方網站的訪問!以上是關于
自吸泵的聯軸器如何平衡找正調整的介紹,如您對此問題還想深一步了解,或有其他泵業產品、水泵選型、水泵型號、水泵價格的問題需要解答,請聯系本水泵廠家,大東海泵業還生產
排污泵,隨時歡迎您的咨詢。謝謝!