大東海泵業無錫有限公司是一家專業的水泵生產廠家。在客戶水泵選型時,我公司水泵廠家會提供完善的水泵型號、水泵價格等售前服務,以供客戶參考,并且我水泵廠家能為客戶提供定制泵業產品的服務。本條產品資訊是關于怎樣計算水泵需要的揚程的知識:

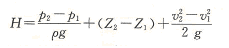
揚程的值等于泵出口總水頭和入口總水頭的代數差。其如何計算水泵揚程的計算公式為:

式中,三項分別表示的是壓力差、位能差、動能差。
可以看出,在試驗中需要進行測量的參數是泵進出口的吸入壓力和排出壓力、進出口的液位相對于基準面的垂贏高度、泵進出口測壓截面的直徑(用以計算流速)等參數。需要說明的是,雖然揚程計算公式相同,但由于采用儀表的不同其計算方法有所區別,具體的要求可參考試驗方法的標準。
什么是揚程?用什么字母表示?用什么計量單位?舉例說明如何計算水泵揚程。
水泵揚程是指泵產生的總水頭。其值等于泵出n總水頭和入口總水頭的代數差。揚程一般用H表示,常用計量單位為米(m)。其數學表達式為:

式中,三項分別表示的是壓力差、位能差、動能差。
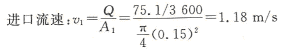
例如,某
管道泵在某轉速下,試驗介質為常溫清水(密度按1 000 kg/m3計算),測得流量為75.1 m3/h,泵的排出壓力為1.62 MPa(測壓截面真徑為100 mm),吸入壓力為 0. 035 MP(測壓截面直徑為150 mm),壓力表中心的水平位置相同。此工作點的揚程計算步驟如下:
計算進出口截面的流速:

非常感謝您對大東海泵業無錫有限公司官方網站的訪問!以上是關于怎樣計算水泵需要的揚程的介紹,如您對此問題還想深一步了解,或有其他泵業產品、水泵選型、水泵型號、水泵價格的問題需要解答,請聯系本水泵廠家,大東海泵業還生產
變頻無負壓供水設備,隨時歡迎您的咨詢。謝謝!